Staff Links
search
directions_bus

K-12 Health Awareness Check

Font Size: A+ A- Reset

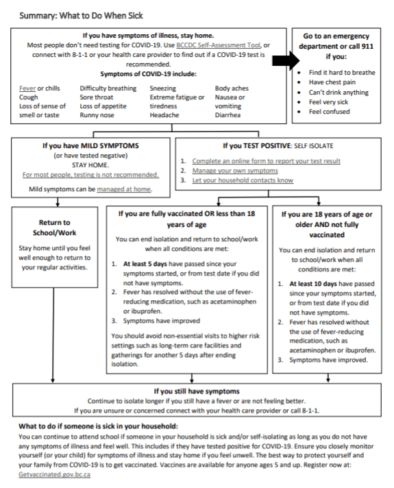
Parents are required to consult with their child each morning using this HEALTH AWARENESS CHECK before coming to school. It also includes information on what to do if you are not well.

CLICK HERE to learn more about self-isolation, self-monitoring, for how long and when to do so.

Please also refer to the BCCDC “When to get tested for COVID-19” for specific guidance.

Staff, students, parents and caregivers are also encouraged to use the BCCDC online Self-Assessment Tool, or call 8-1-1 or their health care provider.

This “What to Do When Sick” summary is from the last page of the HEALTH CHECK in case you wish to access live links.